切换科目
重点科目
主要科目
次要科目
科数网
首页
刷题
学习
VIP会员
赞助
组卷
集合
教材
VIP
写作
游客,
登录
注册
在线学习
概率论与数理统计
第七篇 参数估计
附表:参数估计服从分布表与例题 ★★★★★
最后
更新:
2026-01-07 07:48
查看:
386
次
反馈
能力测评
会员8.2元/月
赞助
附表:参数估计服从分布表与例题 ★★★★★
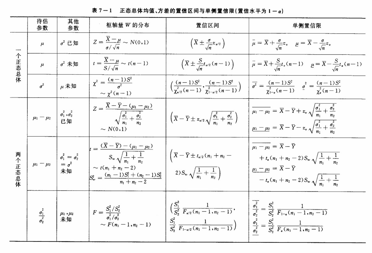
<style> .kmath_md p img { max-width: 1100px; } </style> {width=1100px} 上面列出了参数估计常见的服从分布。在做题目时,核心是构造枢轴量。 比如: (1)如果是一个正态分布,且题目告诉你**方差已知**,估计均值,则均值服从正态分布。 (2)如果是一个正态分布,且题目告诉你**方差未知**,估计均值,则均值服从:小样本(30个以下)使用t分布,大样本(超过30)使用正态分布。 (3)要会查分布表的值。 ## 一个正态分布 ### 单个正态总体均值的区间估计(方差已知) `例`某车间生产的零件长度服从正态分布 $X \sim N(\mu, 0.04)$。现从生产线上随机抽取16个零件,测得平均长度为20.5 cm。求零件长度的均值 $\mu$ 的95%置信区间。 **分析**: * 总体分布:正态 $N(\mu, \sigma^2)$,且**方差 $\sigma^2 = 0.04$ 已知**。 * 样本量:$n = 16$ * 样本均值:$\bar{x} = 20.5$ * 置信水平:$1 - \alpha = 0.95$,所以 $\alpha = 0.05$,$\alpha/2 = 0.025$ **步骤**: 1. **选择统计量**:由于方差已知,我们使用 **Z统计量**。 $$ Z = \frac{\bar{X} - \mu}{\sigma / \sqrt{n}} \sim N(0, 1) $$ 2. **确定临界值**:查标准正态分布表(或使用统计软件),找到 $z_{0.025}$。 $$ z_{0.025} = 1.96 $$ 这意味着 $P(-1.96 < Z < 1.96) = 0.95$。 3. **构建置信区间**:根据不等式 $-z_{\alpha/2} < Z < z_{\alpha/2}$,代入Z的表达式并进行代数变换,得到 $\mu$ 的置信区间公式: $$ P\left( \bar{X} - z_{\alpha/2} \frac{\sigma}{\sqrt{n}} < \mu < \bar{X} + z_{\alpha/2} \frac{\sigma}{\sqrt{n}} \right) = 1 - \alpha $$ 因此,95%置信区间为: $$ \left[ \bar{x} - z_{\alpha/2} \frac{\sigma}{\sqrt{n}},\ \bar{x} + z_{\alpha/2} \frac{\sigma}{\sqrt{n}} \right] $$ 4. **代入数据计算**: * $\sigma = \sqrt{0.04} = 0.2$ * $\sqrt{n} = \sqrt{16} = 4$ * 边际误差 $E = z_{\alpha/2} \frac{\sigma}{\sqrt{n}} = 1.96 \times \frac{0.2}{4} = 1.96 \times 0.05 = 0.098$ * 置信区间下限:$20.5 - 0.098 = 20.402$ * 置信区间上限:$20.5 + 0.098 = 20.598$ **答案**:我们有95%的置信度认为该车间生产的零件长度的均值 $\mu$ 在 **[20.402 cm, 20.598 cm]** 之间。 ### 单个正态总体均值的区间估计(方差未知,小样本) `例`假设某品牌电池寿命服从正态分布。现随机抽取9节电池进行寿命测试,得到平均寿命为500小时,样本标准差为40小时。求该品牌电池平均寿命 $\mu$ 的99%置信区间。 **分析**: * 总体分布:正态 $N(\mu, \sigma^2)$,但**方差 $\sigma^2$ 未知**。 * 样本量:$n = 9$(小样本,$n < 30$) * 样本均值:$\bar{x} = 500$ * 样本标准差:$s = 40$ * 置信水平:$1 - \alpha = 0.99$,所以 $\alpha = 0.01$,$\alpha/2 = 0.005$ **步骤**: 1. **选择统计量**:由于方差未知且为小样本,我们使用 **t统计量**(自由度为 $n-1$)。 $$ T = \frac{\bar{X} - \mu}{S / \sqrt{n}} \sim t(n-1) $$ 2. **确定临界值**:查t分布表,自由度 $df = n - 1 = 8$,双侧概率 $\alpha = 0.01$。 $$ t_{0.005}(8) = 3.355 $$ 这意味着 $P(-3.355 < T < 3.355) = 0.99$。 3. **构建置信区间**:公式变为: $$ \left[ \bar{x} - t_{\alpha/2}(n-1) \frac{s}{\sqrt{n}},\ \bar{x} + t_{\alpha/2}(n-1) \frac{s}{\sqrt{n}} \right] $$ 4. **代入数据计算**: * $\sqrt{n} = \sqrt{9} = 3$ * 边际误差 $E = t_{\alpha/2}(n-1) \frac{s}{\sqrt{n}} = 3.355 \times \frac{40}{3} \approx 44.733$ * 置信区间下限:$500 - 44.733 = 455.267$ * 置信区间上限:$500 + 44.733 = 544.733$ **答案**:我们有99%的置信度认为该品牌电池的平均寿命 $\mu$ 在 **[455.27小时, 544.73小时]** 之间。 ### 单个正态总体方差的区间估计 `例` 承接例题2的数据。已知电池寿命服从正态分布,样本量 $n=9$,样本均值 $\bar{x}=500$,样本标准差 $s=40$。求总体方差 $\sigma^2$ 的95%置信区间。 **分析**: * 目标参数:方差 $\sigma^2$ * 总体分布:正态(这是使用卡方分布的前提) * 样本量:$n = 9$ * 样本方差:$s^2 = 40^2 = 1600$ * 置
免费注册 查看余下70%
《高等数学》难点解析
高数教程
泰勒公式
切线与法线
切平面与法平面
驻点·拐点·极值点·零点
间断点
渐进线
瑕积分
欧拉方程
伯努利方程
Abel 收敛定理
偏导数的几何意义
偏导数的几何意义
梯度
数量场与向量场
多元函数极值
拉格朗日算子
通量与散度
环流量与旋度
格林公式
高斯公式
斯托克斯公式
三大公式比较
傅里叶级数
极坐标微元
点法式方程
变上限定积分
X型计算面积
Y型计算面积
微分的意义
渐近线
间断点
y''+py'+qy=f(x)方程
高斯
黎曼
傅里叶变换(复数)
拉普拉斯变换(复数)
高等数学测评
函数与极限
一元函数微分学
一元函数积分学
微分方程
空间向量与代数
多元微分学
多元积分学
无穷级数
《线性代数》难点解析
线代教程
近世代数对数学的整体思考
线性的意义
矩阵乘法(列视角)
矩阵乘法(行视角)
矩阵左乘
矩阵右乘
逆矩阵求解方程组
阶梯形矩阵的求法
方程组解的判定
四阶行列式的计算
线性变换的意义
线性空间
向量组的等价
线性空间的几何意义
基础解系的求法
施密特正交化
特征值与特征向量的意义
矩阵相似的几何意义
矩阵可对角化的理解
秩的意义(向量版)
秩的意义(方程版)
二次型的意义
线性代数测评
行列式
矩阵
向量空间
《概率论与数理统计》难点解析
概率教程
置信区间与上a分位数
概率中的“取”与“放”
贝叶斯公式
全概率公式
泊松分布
指数分布
伽玛分布
二维密度图的意义
卷积的意义
相关系数的意义
k阶矩是与矩母函数
卡方分布的作用
单正态区间估计理解
假设检验理解
切比雪夫不等式
中心极限定理
概率统计测评
事件与概率
一维随机变量与事件
多维随机变量与事件
随机变量的数字特征
大数定律与中心极限定理
统计量与抽样分布
参数估计
假设检验
上一篇:
两个正态总体的参数的区间估计
下一篇:
本章思维导图
本文对您是否有用?
有用
(
0
)
无用
(
0
)
学习首页
数学试卷
同步训练
投稿
会议预约系统
数学公式
关于
Mathhub
赞助我们
科数网是专业专业的数学网站 版权所有
本站部分教程采用AI制作,请读者自行判别内容是否一定准确
如果页面无法显示请联系 18155261033 或 983506039@qq.com