切换科目
重点科目
主要科目
次要科目
科数网
首页
刷题
学习
VIP会员
赞助
组卷
集合
教材
VIP
写作
游客,
登录
注册
在线学习
线性代数
第一篇 行列式
范德蒙德Vandermonde行列式
最后
更新:
2026-01-12 11:54
查看:
583
次
反馈
能力测评
会员8.2元/月
赞助
范德蒙德Vandermonde行列式
Vandermonde;范德蒙
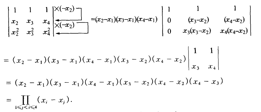
## 范德蒙行列式 形如 $D_n=\left|\begin{array}{cccc}1 & 1 & \cdots & 1 \\ x_1 & x_2 & \cdots & x_n \\ \vdots & \vdots & \ddots & \vdots \\ x_1^{n-1} & x_2^{n-1} & \cdots & x_n^{n-1}\end{array}\right|$ 。 的行列式被称呼为 $n$ 阶的范德蒙德 (Vandermonde) 行列式。 **分析** 构成本行列式元素的特点是:第 1 行全为 1 ,第 2 行为 $x_j(j=1,2$ , $3,4)$ ,第3行为 $x_j^2$ ,第4行为 $x_j^3$ ,或说元素 $a_{i j}=x_j^{i-1}(i, j=1,2,3,4)$ 。具有这样特点的行列式称为 Vandermonde 行列式。利用其特点,可以用**逐行相减**的方法化简:每一行的 $\left(-x_1\right)$ 倍加到下一行上,可将 $a_{21}, a_{31}, a_{41}$ 都化为零,再处理,以四阶为例,如下图   这就是4阶范德蒙德行列式的值。 一般的$n$ 阶范德蒙行列式 $D_n= \prod_{1 \leq j<i \leq n}\left(x_i-x_j\right)$ ①这里$\prod$ 是连乘的符号。 ②请注意上面的连乘 $1 \leq j<i \leq n$ ,注意后面是$j<i$,不能是 $j \leq i$,否则就变成0了。 **记忆方法** **盯着第二行,后一项减前一项的所有项的乘积。**  #### 当n=3的范德蒙行列式 当 $n=3$ 的情况, $D_3=\left|\begin{array}{ccc}1 & 1 & 1 \\ x_1 & x_2 & x_3 \\ x_1^2 & x_2^2 & x_3^2\end{array}\right|=\left(x_2-x_1\right)\left(x_3-x_2\right)\left(x_3-x_1\right)$ #### 当n=4的范德蒙行列式 当 $n=4$ 的情况 $$ D_4=\left|\begin{array}{cccc} 1 & 1 & 1 & 1 \\ x_1 & x_2 & x_3 & x_4 \\ x_1^2 & x_2^2 & x_3^2 & x_4^2 \\ x_1^3 & x_2^3 & x_3^3 & x_4^3 \end{array}\right|=\left(x_2-x_1\right)\left(x_3-x_1\right)\left(x_4-x_1\right)\left(x_3-x_2\right)\left(x_4-x_2\right)\left(x_4-x_3\right) $$ ## 例题 `例`计算 $$D=\left|\begin{array}{cccc} 2 & 2 & 2 & 2 \\ 1 & 2 & 3 & 4 \\ 1 & 4 & 9 & 16 \\ 1 & 8 & 27 & 64 \end{array}\right| . $$ 解: 第一行可以提取出公因子2,则余下的就是范德蒙行列式。 只看第二行数据,即盯着第二行,后一项减前一项的**所有项**的乘积。 $$ D=2\left|\begin{array}{cccc} 1 & 1 & 1 & 1 \\ 1 & 2 & 3 & 4 \\ 1 & 4 & 9 & 16 \\ 1 & 8 & 27 & 64 \end{array}\right|=2(2-1)(3-1)(4-1)(3-2)(4-2)(4-3)=24 . $$ 注意:因为转置行列式与行列式的值相等,在考试时,有时候老师会反过来写,比如 $$ D_2=\left|\begin{array}{cccc} 1 & 1 & 1 & 1 \\ 1 & 2 & 4 & 8 \\ 1 & 3 & 9 & 27 \\ 1 & 4 & 16 & 64 \end{array}\right| $$ >**此时,你也需要认出这是范德蒙行列式,不要写成转置,你就不认识他了。** ## 例题 `例` 计算 $$ D=\left|\begin{array}{cccccc} a_1^n & a_1^{n-1} b_1 & a_1^{n-2} b_1^2 & \cdots & a_1 b_1^{n-1} & b_1^n \\ a_2^n & a_2^{n-1} b_2 & a_2^{n-2} b_2^2 & \cdots & a_2 b_2^{n-1} & b_2^n \\ \vdots & \vdots & \vdots & & \vdots & \vdots \\ a_{n+1}^n & a_{n+1}^{n-1} b_{n+1} & a_{n+1}^{n-2} b_{n+1}^2 & \cdots & a_{n+1} b_{n+1}^{n-1} & b_{n+1}^n \end{array}\right| . $$ 分析 首先认清这是一个 $(n+1)$ 阶的行列式.其次构成本行列式元素的特点是:第 $i$ 行的元素,由 $a_i$ 的降幂及 $b_i$ 的升幂排列.$a_i$ 由 $n$ 次降为零次,$b_i$由零次升为 $n$ 次。根据这一特点,若每一行分别提出公因子 $a_i^n$ 后,就变成 $\left(\frac{b_i}{a_i}\right)$ 的升幂排列:从零次到 $n$ 次——这就是一个 $(n+1)$ 阶的 Vandermonde行列式 解 $$ \begin{aligned} D_{n+1} & =a_1^n \cdot a_2^n \cdots a_{n+1}^n \cdot\left|\begin{array}{cccc} 1 & \left(\frac{b_1}{a_1}\right) & \left(\frac{b_1}{a_1}\right)^2 & \cdots \\ 1 & \left(\frac{b_2}{a_2}\right) & \left(\frac{b_1}{a_1}\right)^n \\ \vdots & \cdots & \vdots & \left(\frac{b_2}{a_2}\right)^n \\ 1 & \left(\frac{b_{n+1}}{a_{n+1}}\right) & \left(\frac{b_{n+1}}{a_{n+1}}\right)^2 & \cdots \\ & \left(\frac{b_{n
免费注册 查看余下70%
《高等数学》难点解析
高数教程
泰勒公式
切线与法线
切平面与法平面
驻点·拐点·极值点·零点
间断点
渐进线
瑕积分
欧拉方程
伯努利方程
Abel 收敛定理
偏导数的几何意义
偏导数的几何意义
梯度
数量场与向量场
多元函数极值
拉格朗日算子
通量与散度
环流量与旋度
格林公式
高斯公式
斯托克斯公式
三大公式比较
傅里叶级数
极坐标微元
点法式方程
变上限定积分
X型计算面积
Y型计算面积
微分的意义
渐近线
间断点
y''+py'+qy=f(x)方程
高斯
黎曼
傅里叶变换(复数)
拉普拉斯变换(复数)
高等数学测评
函数与极限
一元函数微分学
一元函数积分学
微分方程
空间向量与代数
多元微分学
多元积分学
无穷级数
《线性代数》难点解析
线代教程
近世代数对数学的整体思考
线性的意义
矩阵乘法(列视角)
矩阵乘法(行视角)
矩阵左乘
矩阵右乘
逆矩阵求解方程组
阶梯形矩阵的求法
方程组解的判定
四阶行列式的计算
线性变换的意义
线性空间
向量组的等价
线性空间的几何意义
基础解系的求法
施密特正交化
特征值与特征向量的意义
矩阵相似的几何意义
矩阵可对角化的理解
秩的意义(向量版)
秩的意义(方程版)
二次型的意义
线性代数测评
行列式
矩阵
向量空间
《概率论与数理统计》难点解析
概率教程
置信区间与上a分位数
概率中的“取”与“放”
贝叶斯公式
全概率公式
泊松分布
指数分布
伽玛分布
二维密度图的意义
卷积的意义
相关系数的意义
k阶矩是与矩母函数
卡方分布的作用
单正态区间估计理解
假设检验理解
切比雪夫不等式
中心极限定理
概率统计测评
事件与概率
一维随机变量与事件
多维随机变量与事件
随机变量的数字特征
大数定律与中心极限定理
统计量与抽样分布
参数估计
假设检验
上一篇:
反对称行列式与准对称行列式
下一篇:
克莱默Cramer法则
本文对您是否有用?
有用
(
0
)
无用
(
0
)
学习首页
数学试卷
同步训练
投稿
会议预约系统
数学公式
关于
Mathhub
赞助我们
科数网是专业专业的数学网站 版权所有
本站部分教程采用AI制作,请读者自行判别内容是否一定准确
如果页面无法显示请联系 18155261033 或 983506039@qq.com