切换科目
重点科目
主要科目
次要科目
科数网
首页
刷题
学习
VIP会员
赞助
组卷
集合
教材
VIP
写作
游客,
登录
注册
在线学习
线性代数
引言 线性代数的意义
近世代数对数学的整体思考
最后
更新:
2025-10-21 08:06
查看:
632
次
反馈
能力测评
会员8.2元/月
赞助
近世代数对数学的整体思考
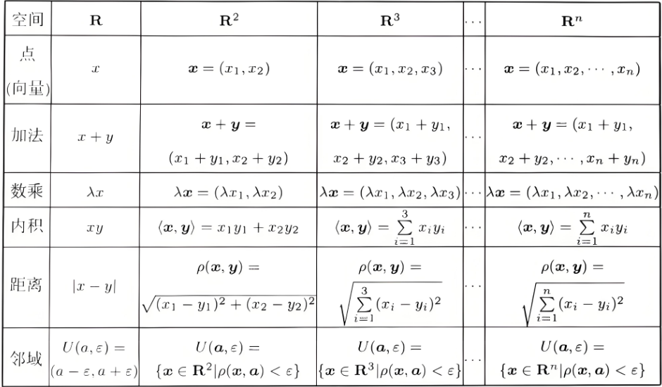
## 近世代数对数学的整体思考 参考下图:一个个数字或者物体被称作**元素**,元素放在一起组成了**集合**(这个高中就学过),集合元素支持二元运算则组成了**空间**,如果空间满足八大性质(加法、数乘、交换律、结合律、单位元等)则被定义为**线性空间**。空间里元素的距离称为**度量空间**。我们需要一个尺子作为度量的基准,这个尺子被称为**范数**,含有范数的空间称为**线性赋范空间**,如果数据之间没有间隙(也就是数据具备完备性)称为**巴拿赫空间**。 另一方面,如果在线性空间基础上定义了内积(长度和角度)则称为**内积空间**。内积空间完备后后是**希尔伯特空间**,希尔伯特空间在实数域并且是有限维度的则称呼为**欧几里得空间**。 在整个代数空间里,还可以往另外两个方向抽象: (1)我们默认处理的数都是实数,如果把数从实数延伸到复数,就成了复数空间,简称**酉空间**,如果里面的数据以面积为主,则称作**辛空间** (2)在上面的处理中,要测量向量需要一把“尺子”,我们把所有可能的尺子组成的空间称作**对偶空间**。对偶空间中的零向量是零泛函,它将每个向量 v 都映射到标量 0,对偶空间是主要用于张量分析里,例如在量子力学里,量子的动量同时受到p和v测量的影响。 详细的空间体系大致如下:   > 在线性空间里,要特别强调一下数的**封闭性**, 如果集合$V$里的数进行加减乘除仍在$V$里,则$V$称为**封闭数域**,比如“**全体有理数**”就是一个封闭数域,因为任何有理数的加减乘除仍在有理数里,但是“**全体整数**”就不是封闭数域,因为两个数相除有可能是分数。 在代数空间定义了向量之间的运算,如下表,包括了:空间的距离、加法、数乘、内积、领域等。  ### 一、空间 把多个元素放在一起就构成了集合,如 $\left\{x_1, x_2, \ldots, x_n\right\}$ 。但是集合是松散,我们还需要定义各个元素之间的"关系"或者说"结构",加上这层"关系"和"结构"之后,就构成了一个空间 ### 二、线性空间(向量空间) 在空间里,定义一个操作,如果操作满足下面八条性质,则称作线性空间或者向量空间。  当然上面八条性质核心是加法和数乘,因此也有人说是两大性质,其余六条性质都可以推到出来。但是,使用八大性质更容易推理。 ### 三、度量空间 如果想把集合中任意的两个元素建立"关系",首先想到的可能就是去描述它们之间的"距离"。定义了距离的空间称为度量空间。距离的定义应该满足以下四点: - 非负性: $d(x, y) \geq 0$ - 非退化性: $d(x, y)=0 \Leftrightarrow x=y$ - 对称性: $d(x, y)=d(y, x)$ - 三角不等式+: $d(x, y)+d(y, z) \geq d(x, z)$ 因为定义了距离,因此在度量空间中有了长度的概念。 ### 四、线性赋范空间 定义了范数的线性空间称为线性赋范空间。范数的定义应该满足以下四点: - 非负性: $\|x\| \geq 0$ - 非退化性: $\|x\|=0 \Leftrightarrow x=0$ -齐次性+: $|a x \|=| a|\cdot||x| \mid$ - 三角不等式: $\|x+y\| \leq\|x\|+\|y\|$ 范数可以理解为空间中一个元素到零元的距离。因此,我们很容易根据范数的定义诱导出距离的定 ,如 $d(x, y)=\|x-y\|$ 。因此通常我们认为赋范空间也是一种度量空间。 值得注意的是,在范数的定义过程中,非退化性要求该空间内一定有一个零元,齐次性要求对乘法封闭,三角不等式要求对加法封闭。因此,范数必须定义在线性空间内 ,一个赋范空间一定是线性的,称为线性赋范空间。 ### 五、内积空间 定义了内积的线性空间称为内积空间。内积的定义应该满足以下四点: - 非负性: $\langle x, x\rangle \geq 0$ - 非退化性: $\langle x, x\rangle=0 \Leftrightarrow x=0$ - 共轭对称性 :$\langle x, y\rangle=\overline{\langle y, x\rangle}$ - 第一变元线性: $\langle a x+b y, z\rangle=a\langle x, z\rangle+b\langle y, z\rangle$ - 第二变元共轭线性: $\langle z, a x+b y\rangle=\bar{a}\langle z, x\rangle+\bar{b}\langle z, y\rangle$ 关于距离、范数和内积的总结如下图  > 事实上,定义了内积以后也很容易诱导出范数的定义,如 $\|x\|=\sqrt{\langle x, x\rangle}$ 。因此,通常我们认为内积空间也是一种赋范空间,同时也是一种度量空间。 > 定义了内积和范数,就可以定义线性空间中两个向量的夹角,即 angle $(x, y)=\frac{\langle x, y\rangle}{\|x\| \cdot\|y\|}$ 。因此,在内积空间中,我们有了长度和角度的概念。 下面的例题对上面进行了简单的解释。详见 [向量单位化](https://kb.kmath.cn/kbase/detail.aspx?id=1598) `例` 已知三维空间里有2个向量,我们可以求出其中的部分数据。 $$ \boldsymbol{x}=\left(\begin{array}{l}-1 \\ 2 \\ 3\end{array}\right), \boldsymbol{y}=\left(\begin{array}{l} 1 \\ 0 \\ 3 \end{array}\right) $$  解: ①求向量的长度。 $||x||$=$\sqrt{(-1)^2+2^2+3^2}=\sqrt{14}$ $||y||$=$\sqrt{(1)^2+0^2+3^2}=\sqrt{10}$ ② 求2个向量的夹角 $[[x,y]=-1*1+2*0+3*3=8$ 所以夹角 $ \theta=\arccos \frac{8}{14*10}=\arccos \frac{2}{35}$ ③ 求测量向量的尺子。可以有多个尺子 $$ \vec{e}= \frac{x}{||x||}= \left(\begin{array}{l}-1/\sqrt{14} \\ 2/\sqrt{14} \\ 3/\sqrt{14} \end{array}\right) $$ 或 $$ \vec{e}= \frac{x}{||x||}= \left(\begin{array}{l}1/\sqrt{10} \\ 0/\sqrt{10} \\ 3/\sqrt{10} \end{array}\right) $$ ### 六、希尔伯特空间和完备性 希尔伯特空间,即完备的内积空间。那么什么是完备性 (completeness) 呢? 这里需要介绍一下收敛列和柯西列
免费注册 查看余下70%
《高等数学》难点解析
高数教程
泰勒公式
切线与法线
切平面与法平面
驻点·拐点·极值点·零点
间断点
渐进线
瑕积分
欧拉方程
伯努利方程
Abel 收敛定理
偏导数的几何意义
偏导数的几何意义
梯度
数量场与向量场
多元函数极值
拉格朗日算子
通量与散度
环流量与旋度
格林公式
高斯公式
斯托克斯公式
三大公式比较
傅里叶级数
极坐标微元
点法式方程
变上限定积分
X型计算面积
Y型计算面积
微分的意义
渐近线
间断点
y''+py'+qy=f(x)方程
高斯
黎曼
傅里叶变换(复数)
拉普拉斯变换(复数)
高等数学测评
函数与极限
一元函数微分学
一元函数积分学
微分方程
空间向量与代数
多元微分学
多元积分学
无穷级数
《线性代数》难点解析
线代教程
近世代数对数学的整体思考
线性的意义
矩阵乘法(列视角)
矩阵乘法(行视角)
矩阵左乘
矩阵右乘
逆矩阵求解方程组
阶梯形矩阵的求法
方程组解的判定
四阶行列式的计算
线性变换的意义
线性空间
向量组的等价
线性空间的几何意义
基础解系的求法
施密特正交化
特征值与特征向量的意义
矩阵相似的几何意义
矩阵可对角化的理解
秩的意义(向量版)
秩的意义(方程版)
二次型的意义
线性代数测评
行列式
矩阵
向量空间
《概率论与数理统计》难点解析
概率教程
置信区间与上a分位数
概率中的“取”与“放”
贝叶斯公式
全概率公式
泊松分布
指数分布
伽玛分布
二维密度图的意义
卷积的意义
相关系数的意义
k阶矩是与矩母函数
卡方分布的作用
单正态区间估计理解
假设检验理解
切比雪夫不等式
中心极限定理
概率统计测评
事件与概率
一维随机变量与事件
多维随机变量与事件
随机变量的数字特征
大数定律与中心极限定理
统计量与抽样分布
参数估计
假设检验
上一篇:
线性几何推广与高维度空间
下一篇:
酉空间,酉矩阵,辛空间,辛矩阵这样的译名缘由
本文对您是否有用?
有用
(
1
)
无用
(
0
)
学习首页
数学试卷
同步训练
投稿
会议预约系统
数学公式
关于
Mathhub
赞助我们
科数网是专业专业的数学网站 版权所有
本站部分教程采用AI制作,请读者自行判别内容是否一定准确
如果页面无法显示请联系 18155261033 或 983506039@qq.com