切换科目
重点科目
主要科目
次要科目
科数网
首页
刷题
学习
VIP会员
赞助
组卷
集合
教材
VIP
写作
游客,
登录
注册
在线学习
概率论与数理统计
第六篇 统计学和抽样分布
阅读:卡方分布χ²-前世今生-Part5
最后
更新:
2025-12-04 18:14
查看:
79
次
反馈
能力测评
会员8.2元/月
赞助
阅读:卡方分布χ²-前世今生-Part5
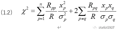
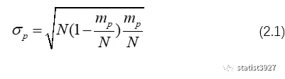
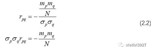
如《深入理解χ2分布》的几个例子,χ2值的计算很简单,就是用(观测值频数-理论值频数)^2之后,除以理论值频数,然后再求和Σ,就计算出来了。 我们现在很多统计应用的书籍中,关于χ2值的计算都是这样。 那到底χ2是如何与观测值频数与理论值的频数相扯上关系的? 此时我们回到《深入理解χ2分布(上)》文中最初的式子。  它是χ2值一般的形式。 在这里插一嘴: 其实刚看到(1.2)式的时候,我总觉得好像哪里见过 比方说有点儿像中学学的和平方公式 $$ (a+b+c+……n)^2 =a^2+b^2+c^2+……+n^2+2ab+2ac+……2an $$ 只不过上式套一个Σ而已 或者说已故的经济学诺奖得主 哈利·马克思·马科维茨(Harry Max Markowitz),他的经典资产组合理论中有这么一条关于投资组合的方差表达式:  上式中,w代表每种资产的配置权重,r代表不同的资产收益率。 也正因为看着比较眼熟,所以才激发了我持续对这个经典理论的微考古的兴趣和动力。 下面言归正传 要对一般形式进行计算得到χ2值,这里面有几个元素就必须要计算出来。 它们分别是:行列式R,余子式Rpp和Rpq,以及σp,σq 下面就是关于它们的计算。 如果有N次的观测值,分了n个组,那么就会有n个观测频数 m1’,m2’……mn’,同时也存在n个理论频数m1,m2……mn, 令e=m’-m,那么就会有n个观测和理论差异产生的误差,e1,e2,……en。 I. 令p∈{n},ep的标准差由二项式分布的方差开方得  II. 如果rpq是ep和eq的相关系数,那么根据2组变量的相关系数 rpq=cov (p,q)/σpσq,得:  **在这里Pearson给相关系数$r_{pq}$加了个负号。** III. 引入一个辅助角β,构建ep的概率为mq/N=sin2βq,代入(2.1)于是可以得到  (2.3)代入到(2.2),得到  因此,(1.2)式中的R,也就是相关系数矩阵行列式,把(2.4)式代入后,可以表示为 方程
高斯
黎曼
傅里叶变换(复数)
拉普拉斯变换(复数)
高等数学测评
函数与极限
一元函数微分学
一元函数积分学
微分方程
空间向量与代数
多元微分学
多元积分学
无穷级数
《线性代数》难点解析
线代教程
近世代数对数学的整体思考
线性的意义
矩阵乘法(列视角)
矩阵乘法(行视角)
矩阵左乘
矩阵右乘
逆矩阵求解方程组
阶梯形矩阵的求法
方程组解的判定
四阶行列式的计算
线性变换的意义
线性空间
向量组的等价
线性空间的几何意义
基础解系的求法
施密特正交化
特征值与特征向量的意义
矩阵相似的几何意义
矩阵可对角化的理解
秩的意义(向量版)
秩的意义(方程版)
二次型的意义
线性代数测评
行列式
矩阵
向量空间
《概率论与数理统计》难点解析
概率教程
置信区间与上a分位数
概率中的“取”与“放”
贝叶斯公式
全概率公式
泊松分布
指数分布
伽玛分布
二维密度图的意义
卷积的意义
相关系数的意义
k阶矩是与矩母函数
卡方分布的作用
单正态区间估计理解
假设检验理解
切比雪夫不等式
中心极限定理
概率统计测评
事件与概率
一维随机变量与事件
多维随机变量与事件
随机变量的数字特征
大数定律与中心极限定理
统计量与抽样分布
参数估计
假设检验
上一篇:
阅读:卡方分布χ²-前世今生-Part4
下一篇:
本章思维导图
本文对您是否有用?
有用
(
0
)
无用
(
0
)
学习首页
数学试卷
同步训练
投稿
会议预约系统
数学公式
关于
Mathhub
赞助我们
科数网是专业专业的数学网站 版权所有
本站部分教程采用AI制作,请读者自行判别内容是否一定准确
如果页面无法显示请联系 18155261033 或 983506039@qq.com