切换科目
重点科目
主要科目
次要科目
科数网
首页
刷题
学习
VIP会员
赞助
组卷
集合
教材
VIP
写作
游客,
登录
注册
在线学习
量子物理
第四篇 量子力学运算符
占有数表象
最后
更新:
2025-11-11 15:56
查看:
8
次
反馈
能力测评
会员8.2元/月
赞助
占有数表象
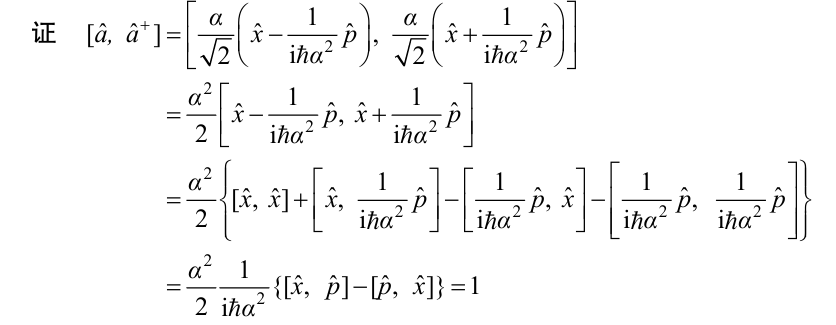
1.算符 $\hat{a}, \hat{a}^{+}, \hat{N}$ 在第3章中,已求得坐标表象下的一维线性谐振子的哈密顿、波函数和能量: $$ \left\{\begin{array}{l} \hat{H}=-\frac{\hbar^2}{2 \mu} \frac{\mathrm{~d}^2}{\mathrm{~d} x^2}+\frac{1}{2} \mu \omega^2 x^2 \\ \psi_n(x)=N_n \mathrm{e}^{-\alpha^2 x^2 / 2} \mathrm{H}_n(\alpha x), \quad \alpha=\sqrt{\frac{\mu \omega}{\hbar}} \\ E_n=\left(n+\frac{1}{2}\right) \hbar \omega, \quad n=0,1,2, \cdots \end{array}\right. $$ 且得到重要递推关系 $$ \begin{aligned} x \psi_n & =\frac{1}{\alpha} \sqrt{\frac{n}{2}} \psi_{n-1}+\frac{1}{\alpha} \sqrt{\frac{n+1}{2}} \psi_{n+1} \\ \frac{\mathrm{~d}}{\mathrm{~d} x} \psi_n & =\alpha \sqrt{\frac{n}{2}} \psi_{n-1}-\alpha \sqrt{\frac{n+1}{2}} \psi_{n+1} \end{aligned} $$ 上述公式详见第3章式(3.34). 定义新算符 $$ \begin{aligned} & \hat{a}=\sqrt{\frac{\mu \omega}{2 \hbar}}\left(\hat{x}+\frac{\mathrm{i}}{\mu \omega} \hat{p}\right)=\frac{\alpha}{\sqrt{2}}\left(\hat{x}-\frac{1}{\mathrm{i} \hbar \alpha^2} \hat{p}\right) \\ & \hat{a}^{+}=\sqrt{\frac{\mu \omega}{2 \hbar}}\left(\hat{x}-\frac{\mathrm{i}}{\mu \omega} \hat{p}\right)=\frac{\alpha}{\sqrt{2}}\left(\hat{x}+\frac{1}{\mathrm{i} \hbar \alpha^2} \hat{p}\right) \end{aligned} $$ 反之,将上述两式相加或相减,得 $$ \begin{aligned} & \hat{x}=\frac{1}{\alpha \sqrt{2}}\left(\hat{a}^{+}+\hat{a}\right) \\ & \hat{p}=\mathrm{i} \hbar \frac{\alpha}{\sqrt{2}}\left(\hat{a}^{+}-\hat{a}\right) \end{aligned} $$ 可以证明算符 $\hat{a}, \hat{a}^{+}$之间满足如下对易关系: $$ \left[\begin{array}{ll} \hat{a}, & \hat{a}^{+} \end{array}\right]=1 $$  上式最后一步利用了对易公式 将式(4.61)代入振子哈密顿量得 方程
高斯
黎曼
傅里叶变换(复数)
拉普拉斯变换(复数)
高等数学测评
函数与极限
一元函数微分学
一元函数积分学
微分方程
空间向量与代数
多元微分学
多元积分学
无穷级数
《线性代数》难点解析
线代教程
近世代数对数学的整体思考
线性的意义
矩阵乘法(列视角)
矩阵乘法(行视角)
矩阵左乘
矩阵右乘
逆矩阵求解方程组
阶梯形矩阵的求法
方程组解的判定
四阶行列式的计算
线性变换的意义
线性空间
向量组的等价
线性空间的几何意义
基础解系的求法
施密特正交化
特征值与特征向量的意义
矩阵相似的几何意义
矩阵可对角化的理解
秩的意义(向量版)
秩的意义(方程版)
二次型的意义
线性代数测评
行列式
矩阵
向量空间
《概率论与数理统计》难点解析
概率教程
置信区间与上a分位数
概率中的“取”与“放”
贝叶斯公式
全概率公式
泊松分布
指数分布
伽玛分布
二维密度图的意义
卷积的意义
相关系数的意义
k阶矩是与矩母函数
卡方分布的作用
单正态区间估计理解
假设检验理解
切比雪夫不等式
中心极限定理
概率统计测评
事件与概率
一维随机变量与事件
多维随机变量与事件
随机变量的数字特征
大数定律与中心极限定理
统计量与抽样分布
参数估计
假设检验
上一篇:
表象之间比较
下一篇:
表象变换
本文对您是否有用?
有用
(
0
)
无用
(
0
)
学习首页
数学试卷
同步训练
投稿
会议预约系统
数学公式
关于
Mathhub
赞助我们
科数网是专业专业的数学网站 版权所有
本站部分教程采用AI制作,请读者自行判别内容是否一定准确
如果页面无法显示请联系 18155261033 或 983506039@qq.com